Composition
1 film-coated tablet contains 5 mg 1H-Purine-2,6-dione, 8-[(3R)-3-amino-1-piperidinyl]-7-(2-butyn-1-yl)-3,7-dihydro-3-methyl-1-[(4-methyl-2-quinazolinyl)methyl]- (= linagliptin)
Excipients: mannitol, starch pregelatinised, maize starch, copovidone, magnesium stearate, Opadry® Pink (02F34337)
Description
Linagliptin film-coated tablets are light red, round, biconvex, bevel-edged tablets and are provided in the following strength (size and mass): 5.0 mg (8 mm, 185 mg)
One side is debossed with the Boehringer Ingelheim company symbol and the other side is debossed with ‘D5’. The film-coated tablets will be administered orally.
Properties
Pharmacotherapeutic group: DPP-4 inhibitor, ATC code: A10BH05
Linagliptin is an inhibitor of the enzyme DPP-4 (Dipeptidyl peptidase 4, EC 3.4.14.5) an enzyme which is involved in the inactivation of the incretin hormones GLP-1 and GIP (glucagon-like peptide-1, glucose-dependent insulinotropic polypeptide). These hormones are rapidly degraded by the enzyme DPP-4. Both incretin hormones are involved in the physiological regulation of glucose homeostasis. Incretins are secreted at a low basal level throughout the day and levels rise immediately after meal intake. GLP-1 and GIP increase insulin biosynthesis and secretion from pancreatic beta cells in the presence of normal and elevated blood glucose levels. Furthermore GLP-1 also reduces glucagon secretion from pancreatic alpha cells, resulting in a reduction in hepatic glucose output. Linagliptin binding to DPP-4 is reversible but long-lasting and thus leads to a sustained increase and a prolongation of active incretin levels. In vitro, linagliptin inhibits DPP-4 with nanomolar potency and exhibits a >10000 fold selectivity versus DPP-8 or DPP-9 activity.
Clinical trials
Linagliptin monotherapy
The efficacy and safety of linagliptin monotherapy was evaluated in a double blind placebo controlled study of 24 weeks duration. Treatment with once daily linagliptin at 5 mg provided a significant improvement in HbA1c (-0.69% change compared to placebo), in patients with baseline HbA1c of approximately 8%. Linagliptin also showed significant improvements in fasting plasma glucose (FPG) 2-hour post-prandial glucose (PPG), and a greater portion of patients achieved a target HbA1c of <7.0%, compared to placebo.
The improvement in HbA1c was not affected by gender, age, race, baseline BMI, presence of metabolic syndrome, or a standard index of insulin resistance (HOMA-IR). Treatment with linagliptin 5 mg daily significantly improved surrogate markers of beta cell function, including HOMA (Homeostasis Model Assessment), proinsulin to insulin ratio, and measures of beta cell responsiveness from the frequently-sampled meal tolerance test. The observed incidence of hypoglycaemia in patients treated with linagliptin was similar to placebo. Body weight did not differ significantly between the groups.
Linagliptin monotherapy for patients ineligible for metformin
The efficacy and safety of linagliptin monotherapy was also evaluated in patients for whom metformin therapy is inappropriate, due to intolerability or contraindication, in a double blind placebo controlled study of 18 weeks duration, followed by a 34 week safety extension period (placebo patients switched to glimepiride). Linagliptin provided significant improvements in HbA1c, (-0.60% change compared to placebo), from a mean baseline HbA1c of 8.09%. The mean HbA1c change from baseline remained constant for linagliptin from week 18 to week 52. Linagliptin also showed significant improvements in FPG, and a greater portion of patients achieved a target HbA1c of <7.0%, compared to placebo. The observed incidence of hypoglycaemia in patients treated with linagliptin was similar to placebo and was lower than seen with glimepiride during the safety extension. Body weight did not differ significantly between the groups during the placebo controlled 18 weeks, and patients treated with glimepiride had an increase in body weight during the safety extension.
Linagliptin monotherapy 12 week data in comparison with placebo, and 26 week data in comparison to an α-glucosidase inhibitor (voglibose).
The efficacy and safety of linagliptin monotherapy was also evaluated in Japanese patients in a double blind study versus placebo for 12 weeks duration, and voglibose (α-glucosidase inhibitor) for 26 weeks duration. Linagliptin (5 mg) provided significant improvements in HbA1c, (-0.87% change compared to placebo) after 12 weeks from a mean baseline HbA1c of 8.0%. Linagliptin (5 mg) was also shown to provide significantly better improvements in HbA1c in comparison to voglibose, (-0.32% change compared to voglibose) after 26 weeks from a mean baseline HbA1c of 8.0%. Linagliptin also showed significant improvements in FPG and a greater portion of patients achieved a target HbA1c of <7.0%, compared to both placebo and voglibose. The observed incidence of hypoglycaemia in patients treated with linagliptin was similar to placebo, and voglibose. Body weight did not differ significantly between linagliptin (5 mg) and placebo after 12 weeks treatment. Patients treated with linagliptin (5 mg), exhibited a small mean decrease from baseline in body weight (-0.16kg) after 26 weeks, compared to a significantly greater mean decrease in body weight in patients administered voglibose (-1.04 kg).
Linagliptin as add on to metformin therapy
The efficacy and safety of linagliptin in combination with metformin was evaluated in a double blind placebo controlled study of 24 weeks duration. Linagliptin provided significant improvements in HbA1c, (-0.64% change compared to placebo), from a mean baseline HbA1c of 8%. Linagliptin also showed significant improvements in FPG,
2-hour PPG by -67.1 mg/dl (-3.7 mmol/L) compared to placebo and a greater portion of patients achieved a target HbA1c of <7.0% (28.3% on linagliptin vs. 11.4% on placebo). The observed incidence of hypoglycaemia in patients treated with linagliptin was similar to placebo. Body weight did not differ significantly between the groups.
Studies conducted using combinations of linagliptin 2.5 mg tablet and varying strengths of metformin
The efficacy and safety of linagliptin in combination with metformin was evaluated in a 24-week placebo-controlled factorial study of initial therapy. Linagliptin 2.5 mg twice daily in combination with metformin (500 mg or 1000 mg twice daily) provided significant improvements in glycemic parameters compared with either monotherapy (mean baseline HbA1c 8.65%). The mean treatment difference in HbA1c between linagliptin+metformin combination therapy versus metformin monotherapy from baseline to Week 24 (LOCF) was -0.51% (95% CI -0.73, -0.30; p<0.0001) for linagliptin 2.5 mg+metformin 1000 mg twice daily compared to metformin 1000 mg twice daily, -0.58% (95% CI - 0.79, -0.36; p<0.0001) for linagliptin 2.5 mg+metformin 500 mg twice daily compared to metformin 500 mg twice daily. The placebo-corrected mean HbA1c change from baseline for linagliptin 2.5/metformin 1000 mg twice daily were 1.71% which led to HbA1c control (<7.0%) in 53.6% of patients (compared to 30.7% on monotherapy with metformin 1000 mg twice daily). Mean reductions from baseline in HbA1c were generally greater for patients with higher baseline HbA1c values. Effects on plasma lipids were generally neutral. The decrease in body weight with the combination of linagliptin and metformin was similar to that observed for metformin alone or placebo; there was no change from baseline for patients on linagliptin alone. The incidence of hypoglycaemia was similar across treatment groups (placebo 1.4%, linagliptin 5 mg 0%, metformin 2.1%, and linagliptin 2.5 mg plus metformin twice daily 1.4%). In addition, this study included patients (n=66) with more severe hyperglycemia (HbA1c at baseline >/=11%) who were treated with twice daily open-label linagliptin 2.5 mg and metformin 1000 mg. In this group of patients, the mean baseline HbA1c value was 11.8% and mean FPG was 261.8 mg/dL. A mean decrease from baseline of -3.74% in HbA1c (n=48) and -81.2 mg/dL for FPG (n=41) was observed for patients completing the 24 week trial period without rescue therapy. In the LOCF analysis including all patients with primary endpoint measurements (n=65) at last observation without rescue therapy changes from baseline were -3.19% for HbA1c and -73.6 mg/dL for FPG.
The efficacy and safety of linagliptin 2.5 mg twice daily versus 5 mg once daily in combination with metformin in patients with insufficient glycemic control on metformin monotherapy was evaluated in a double blind placebo controlled study of 12 weeks duration. Linagliptin (2.5 mg twice daily and 5 mg once daily) added to metformin provided significant improvements in glycemic parameters compared with placebo. Linagliptin 5 mg once daily and 2.5 mg twice daily provided comparable (CI: -0.07; 0.19) significant HbA1c reductions of -0.80% (from baseline 7.98%), and -0.74 (from baseline 7.96%) compared to placebo. The observed incidence of hypoglycaemia in patients treated with linagliptin was similar to placebo. Body weight did not differ significantly between the groups.
Linagliptin as add on to sulphonylurea therapy
The efficacy and safety of linagliptin in combination with sulphonylurea was evaluated in a double blind placebo controlled study of 18 weeks duration. Linagliptin provided significant improvements in HbA1c, (-0.47% change compared to placebo), from a mean baseline HbA1c of 8.6%. Linagliptin also showed significant improvements in patients achieving a target HbA1c of <7.0%. Body weight did not differ significantly between the groups.
Linagliptin as add on to insulin therapy
The efficacy and safety of the addition of linagliptin 5 mg to insulin alone or in combination with metformin and/or pioglitazone has been evaluated in a double blind placebo controlled study over 24 weeks duration. The mean treatment difference in HbA1c between linagliptin versus placebo from baseline to Week 24 (LOCF) was -0.65% (95% CI -0.74, -0.55; p<0.0001) from a mean baseline HbA1c of 8.3%. Mean reductions from baseline in HbA1c were generally greater for patients with higher baseline HbA1c values. The mean HbA1c change from baseline was sustained for linagliptin from week 12 to week 24. Linagliptin also showed significant improvements in FPG of -11.25 mg/dL (95% CI -16.14, -6.36; p<0.0001) compared to placebo, and a greater portion of patients achieved a target HbA1c of <7.0%, compared to placebo. This was achieved with a stable insulin dose. After 24 weeks of treatment, the mean daily insulin dose at baseline was 42 units in patients treated with linagliptin and 40 units in placebo-treated patients. The mean change from baseline to Week 24 in daily dose of insulin was 1.3 IU in the placebo group and 0.6 IU in the linagliptin group. Body weight did not differ significantly between the groups. Effects on plasma lipids were neutral. The incidence of hypoglycaemia was similar across treatment groups (22.2% linagliptin; 21.2% placebo).
Linagliptin as add on to a combination of metformin and sulphonylurea therapy
A placebo controlled study of 24 weeks in duration was conducted to evaluate the efficacy and safety of linagliptin 5 mg to placebo, in patients not sufficiently treated with a combination with metformin and a sulphonylurea. Linagliptin provided significant improvements in HbA1c (-0.62% change compared to placebo), from a mean baseline HbA1c of 8.14%. Linagliptin also showed significant improvements in patients achieving a target HbA1c of <7.0%, and also for fasting plasma glucose (FPG), compared to placebo. Body weight did not differ significantly between the groups.
Linagliptin as add on to a combination of metformin and empagliflozin
In patients inadequately controlled with metformin and empagliflozin (10 mg (n=247) or 25 mg (n=217)), 24-weeks treatment with add-on therapy of linagliptin 5 mg provided adjusted mean HbA1c reductions from baseline by -0.53% (significant difference to add-on placebo -0.32% (95% CI -0.25, -0.13) and -0.58% (significant difference to add-on placebo -0.47% (95% CI -0.66; -0.28), respectively. A statistically significant greater proportion of patients with a baseline HbA1c ≥7.0% and treated with linagliptin 5 mg achieved a target HbA1c of <7% compared to placebo.
In prespecified subgroups of patients with baseline HbA1c greater or equal than 8.5% (n=66 and n=42 patients on metformin plus empagliflozin 10 mg or 25 mg, respectively), the adjusted mean HbA1c reductions from baseline to 24 weeks on add-on therapy with linagliptin 5 mg were -0.97% (p=0.0875, for difference to add-on placebo) and -1.16% (p=0.0046, for difference to add-on placebo), respectively.
Linagliptin 24 month data, as add onto metformin in comparison with glimepiride
In a study comparing the efficacy and safety of the addition of linagliptin 5 mg or glimepiride (a sulphonylurea agent) in patients with inadequate glycaemic control on metformin monotherapy, linagliptin was similar to glimepiride in reducing HbA1c, with a mean treatment difference in HbA1c from baseline to 104 weeks for linagliptin compared to glimepiride of +0.20%. In this study, the proinsulin to insulin ratio, a marker of efficiency of insulin synthesis and release, showed a statistically significant improvement with linagliptin compared with glimepiride treatment. The incidence of hypoglycaemia in the linagliptin group (7.5%) was significantly lower than that in the glimepiride group (36.1%). Patients treated with linagliptin exhibited a significant mean decrease from baseline in body weight compared to a significant weight gain in patients administered glimepiride (-1.39 vs +1.29 kg).
Linagliptin as add on therapy in patients with severe renal impairment, 12 week placebo controlled data (stable background) and 40 week placebo controlled extension (adjustable background)
The efficacy and safety of linagliptin was also evaluated in type 2 diabetes patients with severe renal impairment in a double blind study versus placebo for 12 weeks duration, during which background glycaemic therapies were kept stable. Patients were on a variety on background therapies including insulin, sulphonylurea, glinides and pioglitazone. There was a follow up 40 week period during which dose adjustments in antidiabetes background therapies were allowed.
Linagliptin provided significant improvements in HbA1c (-0.59% change compared to placebo), from a mean baseline HbA1c of 8.2%. A greater portion of patients achieved a target HbA1c of <7.0%, compared to placebo. The observed difference in HbA1c over placebo was -0.72% after 52 weeks.
Body weight did not differ significantly between the groups. The observed incidence of hypoglycaemia in patients treated with linagliptin was higher than placebo, due to an increase in asymptomatic hypoglycaemic events. This can be attributed to the antidiabetes background therapies (insulin and sulphonylurea or glinides). There was no difference between groups in severe hypoglycaemic events.
Linagliptin as add on therapy in elderly patients (age ≥70 years) with type 2 diabetes
The efficacy and safety of linagliptin in elderly (age ≥70years) type 2 diabetes patients has been evaluated in a double blind study versus placebo for 24 weeks duration. Patients received metformin and/or sulphonylurea and/or insulin as background therapy. Doses of background antidiabetic medications were kept stable during the first 12 weeks, after which adjustments were permitted. Linagliptin provided significant improvements in HbA1c of -0.64% (95% CI - 0.81, -0.48; p<0.0001) compared to placebo after 24 weeks, from a mean baseline HbA1c of 7.8%. Linagliptin also showed significant improvements in FPG of -20.7 mg/dL (95% CI -30.2, -11.2; p<0.0001) compared to placebo (-1.1 mmol/L). Body weight did not differ significantly between the groups. Mild hypoglycaemia was reported in a higher proportion of patients on linagliptin than placebo but the difference between the groups was attributed to background sulphonylurea. Hypoglycaemia rates were also comparable on a background of insulin with or without metformin (13 of 35 patients, 37.1% treated with linagliptin and 6 of 15 patients, 40.0% treated with placebo). However, on a background of sulphonylurea with or without metformin, hypoglycaemia was reported in a higher proportion of patients treated with linagliptin (24 of 82 patients, 29.3%) compared to placebo (7 of 42 patients, 16.7%). There was no difference between groups in severe hypoglycaemic events.
Initial combination with Linagliptin and Metformin in recently diagnosed treatment naïve patients with marked hyperglycaemia:
The efficacy and safety of the initial combination of linagliptin 5 mg once daily and metformin twice daily (uptitrated in the first 6 weeks to 1500 mg or 2000 mg/d) compared to linagliptin 5 mg once daily has been studied in a 24 week trial in recently diagnosed treatment naive patients with type 2 diabetes mellitus and marked hyperglycaemia (baseline HbA1c 8.5–12.0%). After 24 weeks both linagliptin monotherapy as well as the initial combination of linagliptin and metformin significantly reduced HbA1c levels by –2.0% and –2.8% respectively, from a baseline HbA1c of 9.69% and 9.73% respectively (per protocol completers cohort). The treatment difference of –0.8% (95% CI –1.1 to –0.5) showed superiority for the initial combination over monotherapy (p<0.0001). Notably, 40% and 61% of patients in the monotherapy and combination arms achieved HbA1c <7.0%
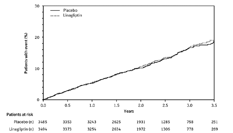
Linagliptin cardiovascular and renal safety study (CARMELINA)
CARMELINA was a randomized study in 6979 patients with type 2 diabetes with increased CV risk evidenced by a history of established macrovascular or renal disease who were treated with linagliptin 5 mg (3494) or placebo (3485) added to standard of care targeting regional standards for HbA1c, CV risk factors and renal disease. The study population included 1,211 (17.4%) patients ≥75 years of age and 4,348 (62.3%) patients with renal impairment. Approximately 19% of the population had eGFR ≥45 to <60 mL/min/1.73 m2, 28% of the population had eGFR ≥30 to <45 mL/min/1.73 m2 and 15% had eGFR <30 mL/min/1.73 m2.
The mean HbA1c at baseline was 8.0%.
The study was designed to demonstrate non-inferiority for the primary cardiovascular endpoint which was a composite of the first occurrence of cardiovascular death or a non-fatal myocardial infarction (MI) or a non-fatal stroke (3P-MACE). The renal composite endpoint was defined as renal death or sustained end stage renal disease or sustained decrease of 40% or more in eGFR.
After a median follow up of 2.2 years, linagliptin, when added to standard of care, did not increase the risk of major adverse cardiovascular events or renal outcome events (Table 1 and Figure 1). There was no increased risk in hospitalization for heart failure which was an additional adjudicated endpoint observed compared to standard of care without linagliptin in patients with type 2 diabetes (Table 2).
Table 1: Major adverse cardiovascular events (MACE) and renal outcome events by treatment group in the CARMELINA study
| Linagliptin 5 mg | Placebo | Hazard Ratio | |||
| Number of Subjects (%) | Incidence Rate per 1000 PY* | Number of Subjects (%) | Incidence Rate per 1000 PY* | (95% CI) | |
| Number of patients | 3494 | 3485 | |||
| Primary CV composite (Cardiovascular death, non-fatal MI, non-fatal stroke) | 434 (12.4) | 57.7 | 420 (12.1) | 56.3 | 1.02 (0.89, 1.17)** |
| Secondary renal composite (renal death, ESRD, 40% sustained decrease in eGFR) | 327 (9.4) | 48.9 | 306 (8.8) | 46.6 | 1.04 (0.89, 1.22) |
*PY=patient years
** Test on non-inferiority to demonstrate that the upper bound of the 95% CI for the hazard ratio is less than 1.3
Figure 1: Time to first occurrence of 3P-MACE in CARMELINA
Table 2: Hospitalization for heart failure and mortality by treatment group in the CARMELINA study
| Linagliptin 5 mg | Placebo | Hazard Ratio | |||
| Number of Subjects (%) | Incidence Rate per 1000 PY* | Number of Subjects (%) | Incidence Rate per 1000 PY* | (95% CI) | |
| Number of patients | 3494 | 3485 | |||
| All-cause mortality | 367 (10.5) | 46.9 | 373 (10.7) | 48.0 | 0.98 (0.84, 1.13) |
| CV death | 255 (7.3) | 32.6 | 264 (7.6) | 34 | 0.96 (0.81, 1.14) |
| Hospitalization for heart failure | 209 (6.0) | 27.7 | 226 (6.5) | 30.4 | 0.90 (0.74, 1.08) |
*PY=patient years
In analyses for albuminuria progression (change from normoalbuminuria to micro- or macroalbuminuria, or from microalbuminuria to macroalbuminuria) the estimated hazard ratio was 0.86 (95% CI 0.78, 0.95) for linagliptin versus placebo. The microvascular endpoint was defined as the composite of renal death, sustained ESRD, sustained decrease of ≥50% in eGFR, albuminuria progression, use of retinal photocoagulation or intravitreal injections of an anti-VEGF therapy for diabetic retinopathy or vitreous haemorrhage or diabetes-related-blindness. The estimated hazard ratio for time to first occurrence for the composite microvascular endpoint was 0.86 (95% CI 0.78, 0.95) for linagliptin versus placebo, mainly driven by albuminuria progression.
Linagliptin cardiovascular safety study (CAROLINA)
CAROLINA was a randomized study in 6033 patients with early type 2 diabetes and increased CV risk or established complications who were treated with linagliptin 5 mg (3023) or glimepiride 1-4 mg (3010) added to standard of care (including background therapy with metformin in 83% of patients) targeting regional standards for HbA1c and CV risk factors. The mean age for study population was 64 years and included 2030 (34%) patients ≥70 years of age. The study population included 2089 (35%) patients with cardiovascular disease and 1130 (19%) patients with renal impairment with an eGFR <60 ml/min/1.73 m2 at baseline. The mean HbA1c at baseline was 7.15%.
The study was designed to demonstrate non-inferiority for the primary cardiovascular endpoint which was a composite of the first occurrence of cardiovascular death or a non-fatal myocardial infarction (MI) or a non-fatal stroke (3P-MACE).
After a median follow up of 6.25 years, linagliptin did not increase the risk of major adverse cardiovascular events (Table 3) as compared to glimepiride. Results were consistent for patients treated with or without metformin.
Table 3: Major adverse cardiovascular events (MACE) and mortality by treatment group in the CAROLINA study
| Linagliptin 5 mg | Glimepiride (1-4 mg) | Hazard Ratio | |||
| Number of Subjects (%) | Incidence Rate per 1000 PY* | Number of Subjects (%) | Incidence Rate per 1000 PY* | (95% CI) | |
| Number of patients | 3023 | 3010 | |||
| Primary CV composite (Cardiovascular death, non-fatal MI, non-fatal stroke) | 356 (11.8) | 20.7 | 362 (12.0) | 21.2 | 0.98 (0.84, 1.14)** |
* PY=patient years
** Test on non-inferiority to demonstrate that the upper bound of the 95% CI for the hazard ratio is less than 1.3
The composite of treatment sustainability, a key secondary endpoint, was defined as the proportion of patients on study treatment following initial titration period (16 weeks) that maintain glycaemic control (HbA1c ≤7.0%) at final visit without need for additional antidiabetic drug therapy (rescue medication) without any moderate (symptomatic with glucose value ≤70 mg/dL) or severe (requiring assistance) hypoglycaemic episodes and without >2% weight gain. A higher number of patients on linagliptin (481, 16.0%) achieved this key secondary endpoint compared to glimepiride (305, 10.2%).
For the entire treatment period (median time on treatment 5.9 years) the rate of patients with moderate or severe hypoglycaemia was 6.5% on linagliptin versus 30.9% on glimepiride, severe hypoglycaemia occurred in 0.3% of patients on linagliptin versus 2.2% on glimepiride.
Pharmacokinetics
The pharmacokinetics of linagliptin has been extensively characterized in healthy subjects and patients with type 2 diabetes. After oral administration of a 5 mg dose to healthy volunteers or patients, linagliptin was rapidly absorbed, with peak plasma concentrations (median Tmax) occurring 1.5 hours postdose.
Plasma concentrations of linagliptin decline in at least bi-phasic manner with a long terminal half-life (terminal half-life for linagliptin more than 100 hours), that is mostly related to the saturable, tight binding of linagliptin to DPP-4 and does not contribute to the accumulation of the drug. The effective half-life for accumulation of linagliptin, as determined from oral administration of multiple doses of 5 mg linagliptin, is approximately 12 hours. After once-daily dosing, steady-state plasma concentrations of 5 mg linagliptin are reached by the third dose. Plasma AUC of linagliptin increased approximately 33% following 5 mg doses at steady-state compared to the first dose. The intra-subject and inter-subject coefficients of variation for linagliptin AUC were small (12.6% and 28.5%, respectively). Plasma AUC of linagliptin increased in a less than dose-proportional manner in the dose range of 1 to 10mg. The pharmacokinetics of linagliptin was generally similar in healthy subjects and in patients with type 2 diabetes.
Absorption
The absolute bioavailability of linagliptin is approximately 30%. Because coadministration of a high-fat meal with linagliptin had no clinically relevant effect on the pharmacokinetics, linagliptin may be administered with or without food. In vitro studies indicated that linagliptin is a substrate of P-glycoprotein and of CYP3A4. Ritonavir, a potent inhibitor of P-glycoprotein and CYP3A4, led to a twofold increase in exposure (AUC) and multiple co-administration of linagliptin with rifampicin, a potent inducer of P-gp and CYP3A, resulted in an about 40% decreased linagliptin steady-state AUC, presumably by increasing/decreasing the bioavailability of linagliptin by inhibition/induction of P-glycoprotein.
Distribution
As a result of tissue binding, the mean apparent volume of distribution at steady state following a single 5 mg intravenous dose of linagliptin to healthy subjects is approximately 1110 litres, indicating that linagliptin extensively distributes to the tissues. Plasma protein binding of linagliptin is concentration-dependent, decreasing from about 99% at 1 nmol/L to 75-89% at ≥30 nmol/L, reflecting saturation of binding to DPP-4 with increasing concentration of linagliptin. At high concentrations, where DPP-4 is fully saturated, 70-80% of linagliptin was bound to other plasma proteins than DPP-4, hence -20-30% were unbound in plasma.
Biotransformation
Following a [14C] linagliptin oral 10 mg dose, approximately 5% of the radioactivity was excreted in urine. Metabolism plays a subordinate role in the elimination of linagliptin. One main metabolite with an relative exposure of 13.3% of linagliptin at steady state was detected which was found to be pharmacologically inactive and thus does not contribute to the plasma DPP-4 inhibitory activity of linagliptin.
Excretion
Following administration of an oral [14C] linagliptin dose to healthy subjects, approximately 85% of the administered radioactivity was eliminated in faeces (80%) or urine (5%) within 4 days of dosing. Renal clearance at steady state was approximately 70 mL/min.
Special Populations
Renal Impairment
A multiple-dose, open-label study was conducted to evaluate the pharmacokinetics of linagliptin (5 mg dose) in patients with varying degrees of chronic renal impairment compared to normal healthy control subjects. The study included patients with renal impairment classified on the basis of creatinine clearance as mild (50 to <80 mL/min), moderate (30 to <50 mL/min), and severe (<30 mL/min), as well as patients with ESRD on hemodialysis. In addition patients with T2DM and severe renal impairment
(<30 mL/min) were compared to T2DM patients with normal renal function. Creatinine clearance was measured by 24-hour urinary creatinine clearance measurements or estimated from serum creatinine based on the Cockcroft-Gault formula:
CrCl = [140 - age (years)] x weight (kg) (x 0.85 for female patients) / [72 x serum creatinine (mg/dL)].
Under steady-state conditions, linagliptin exposure in patients with mild renal impairment was comparable to healthy subjects. In moderate renal impairment, a moderate increase in exposure of about 1.7-fold was observed compared with control. Exposure in T2DM patients with severe RI was increased by about 1.4-fold compared to T2DM patients with normal renal function. Steady-state predictions for AUC of linagliptin in patients with ESRD indicated comparable exposure to that of patients with moderate or severe renal impairment. In addition, linagliptin is not expected to be eliminated to a therapeutically significant degree by haemodialysis or peritoneal dialysis. Therefore, no dosage adjustment of linagliptin is necessary in patients with any degree of renal impairment. In addition, mild renal impairment had no effect on linagliptin pharmacokinetics in patients with type 2 diabetes as assessed by population pharmacokinetic analyses.
Hepatic Impairment
In patients with mild moderate and severe hepatic impairment (according to the Child-Pugh classification), mean AUC and Cmax of linagliptin were similar to healthy matched controls following administration of single/multiple 5 mg doses of linagliptin (patients with severe hepatic impairment received a single dose only). Model-based predictions of steady-state profiles for patients with severe hepatic impairment gave no indication for an increased exposure upon multiple dosing. No dosage adjustment for linagliptin is necessary for patients with mild, moderate or severe hepatic impairment.
Body Mass Index (BMI)
No dosage adjustment is necessary based on BMI. Body mass index had no clinically relevant effect on the pharmacokinetics of linagliptin based on a population pharmacokinetic analysis of Phase I and Phase II data.
Gender
No dosage adjustment is necessary based on gender. Gender had no clinically relevant effect on the pharmacokinetics of linagliptin based on a population pharmacokinetic analysis of Phase I and Phase II data.
Geriatric
No dosage adjustment is required based on age, as age did not have a clinically relevant impact on the pharmacokinetics of linagliptin based on a population pharmacokinetic analysis of Phase I and Phase II data. Elderly subjects (65 to 80 years) had comparable plasma concentrations of linagliptin compared to younger subjects.
Paediatric
Studies characterizing the pharmacokinetics of linagliptin in paediatric patients have not been yet performed.
Race
No dosage adjustment is necessary based on race. Race had no obvious effect on the plasma concentrations of linagliptin based on a composite analysis of available pharmacokinetic data, including patients of Caucasian, Hispanic, African-American, and Asian origin. In addition the pharmacokinetic characteristics of linagliptin were found to be similar in dedicated phase I studies in Japanese, Chinese, Caucasian healthy volunteers and African American type 2 diabetes patients.
Indications
TRAJENTA is indicated as an adjunct to diet and exercise to improve glycemic control in adults with type 2 diabetes mellitus. (see Clinical Studies)
Dosage and Administration
Adults
The recommended dose is 5 mg once daily. TRAJENTA can be taken with or without a meal at any time of the day.
Renal impairment
No dose adjustment is required for patients with renal impairment.
Hepatic Impairment
No dose adjustment is required for patients with hepatic impairment.
Elderly
No dose adjustment is necessary. Experience in patients older than >75 years of age is limited.
Children and adolescents
TRAJENTA is not recommended for use in children below 18 years due to lack of data on safety and efficacy.
Missed dose
If a dose is missed, it should be taken as soon as the patient remembers. A double dose should not be taken at the same day.
Contraindications
Hypersensitivity to the active ingredient or any of the excipients.
Special warnings and precautions
General
TRAJENTA should not be used in patients with type 1 diabetes or for the treatment of diabetic ketoacidosis.
Hypoglycaemia
Linagliptin alone showed a comparable incidence of hypoglycaemia to placebo.
In clinical trials of linagliptin as part of combination therapy with agents not known to cause hypoglycaemia (metformin, thiazolidinediones) rates of hypoglycaemia reported with linagliptin were similar to rates in patients taking placebo.
Sulphonylureas and insulin are known to cause hypoglycaemia. Therefore, caution is advised when linagliptin is used in combination with a sulphonylurea or insulin. A dose reduction of the sulphonylurea or insulin may be considered.
Bullous pemphigoid
Bullous pemphigoid has been observed in patients taking linagliptin. If bullous pemphigoid is suspected, TRAJENTA should be discontinued.
Pancreatitis
Acute pancreatitis has been observed in patients taking linagliptin. After initiation of linagliptin, patients should be observed carefully for signs and symptoms of pancreatitis. If pancreatitis is suspected, linagliptin should promptly be discontinued and appropriate management should be initiated. It is unknown whether patients with a history of pancreatitis are at increased risk for the development of pancreatitis while using linagliptin.
Fertility, pregnancy and lactation
Pregnancy
There are limited data from the use of linagliptin in pregnant women. Animal studies do not indicate direct or indirect harmful effects with respect to reproductive toxicity.
As a precautionary measure, it is preferable to avoid the use of TRAJENTA during pregnancy.
Lactation
Available pharmacodynamic/toxicological data in animals have shown excretion of linagliptin/metabolites in milk. A risk to the breast-fed child cannot be excluded. A decision must be made whether to discontinue breast-feeding or to discontinue/abstain from Trajenta therapy taking into account the benefit of breast-feeding for the child and the benefit of therapy for the woman.
Fertility
No studies on the effect on human fertility have been conducted for TRAJENTA. No adverse effects on fertility were observed in animals up to the highest dose of 240 mg/kg/day (approximately 943 times human exposure based on AUC comparisons).
Effects on ability to drive and use machines
No studies on the effects on the ability to drive and use machines have been performed.
However, patients should be advised that dizziness has been reported in clinical trials. Therefore, caution should be recommended when driving a car or operating machinery. If patients experience dizziness, they should avoid potentially hazardous tasks such as driving or operating machinery.
Side effects
The safety of TRAJENTA has been evaluated in patients with T2DM which in most cases received the target dose of 5 mg.
Due to the impact of the background therapy on adverse events (e.g. on hypoglycaemias), adverse events were analysed based on the respective treatment regimens (monotherapy, add on to metformin, add on to thiazolidinedione (PPARγ agent), add on to sulphonylurea, and add on to metformin plus sulphonylurea, and add on to insulin and add on to metformin and empagliflozin.
The placebo-controlled studies included 28 studies where linagliptin was given either as
- monotherapy with short-term duration of up to 4 weeks
- monotherapy with ≥12 week duration
- add on to metformin
- initial combination therapy with pioglitazone
- add on to sulphonylurea
- add on to metformin + sulphonylurea
- add on to insulin (with or without metformin)
- add on to metformin and empagliflozin
The most frequently reported adverse event was hypoglycaemia observed under the triple combination, linagliptin plus metformin plus sulphonylurea 22.9% vs 14.8% in placebo.
Hypoglycaemias in the placebo-controlled studies (10.9%; N=471) were mild (80%; N=384) or moderate (16.6%; N=78) or severe (1.9%; N=9) in intensity.
Adverse reactions classified by SOC and MedDRA preferred terms reported in patients who received 5 mg TRAJENTA in the double-blind studies as monotherapy, initial combination therapy or as add-on therapy in clinical trials and adverse reactions identified from post-marketing experience are presented in the table below.
Tabulated summary of adverse reactions:
Adverse reactions reported in patients who received TRAJENTA 5 mg daily as mono or add-on therapy in clinical trials and adverse reactions identified from post-marketing experience.
| MedDRA System Organ Class terminology | Linagliptin Adverse reactions |
| Infections & infestations | Nasopharyngitis |
| Immune system disorders | Hypersensitivity |
| Angioedema1 | |
| Urticaria1 | |
| Metabolism & nutrition disorders | Hypoglycaemia (when used in combination with metformin plus sulphonylurea) |
| Hypertriglyceridaemia (when used in combination with sulphonylurea)1 | |
| Hyperlipidaemia (when used in combination with pioglitazone) | |
| Respiratory, thoracic & mediastinal disorders | Cough |
| Gastrointestinal disorders | Pancreatitis |
| Constipation (when used in combination with insulin) | |
| Mouth ulceration1 | |
| Skin and subcutaneous tissue disorders | Rash1 |
| Bullous pemphigoid1,4 | |
| Investigations | Weight increased (when used in combination with pioglitazone) |
| Lipase increased2 | |
| Amylase increased3 |
- ADR identified based on post-marketing experience
- Based on lipase elevations > 3xULN observed in clinical trials [53]
- Based on lipase elevations > In the CAROLINA study comparing linagliptin with active comparator glimepiride (see section Clinical Trials) laboratory analysis of amylase showed increases to > 3xULN in 0.99% of patients treated with linagliptin and in 0.54% of patients treated with glimepiride.
- See also Linagliptin cardiovascular and renal safety study (CARMELINA) below
The combination of linagliptin and metformin when administered in combination with insulin may be associated with an increased risk of hepatic events.
Linagliptin cardiovascular outcome and renal safety study (CARMELINA)
The CARMELINA study evaluated the cardiovascular and renal safety of linagliptin versus placebo in patients with type 2 diabetes and with increased CV risk evidenced by a history of established macrovascular or renal disease (see section Clinical Trials). The study included 3494 patients treated with linagliptin (5 mg) and 3485 patients treated with placebo. Both treatments were added to standard of care targeting regional standards for HbA1c and CV risk factors. At baseline, 57% of patients were treated with insulin, 54% with metformin, and 32% with a sulfonylurea. The overall incidence of adverse events and serious adverse events in patients receiving linagliptin was similar to that in patients receiving placebo. Safety data from this study was in line with previous known safety profile of linagliptin.
In the treated population, severe hypoglycaemic events (requiring assistance) were reported in 3.0% of patients on linagliptin and in 3.1% on placebo. Among patients who were using sulfonylurea at baseline, the incidence of severe hypoglycaemia was 2.0% in linagliptin-treated patients and 1.7% in placebo treated patients. Among patients who were using insulin at baseline, the incidence of severe hypoglycaemia was 4.4% in linagliptin-treated patients and 4.9% in placebo treated patients.
In the overall study observation period adjudicated acute pancreatitis was reported in 0.3% of patients treated with linagliptin and in 0.1% of patients treated with placebo.
In the CARMELINA study, bullous pemphigoid was reported in 0.2% of patients treated with linagliptin and in no patient treated with placebo.
Drug Interactions
Pharmacokinetic Interactions
In vitro assessment of drug interactions:
Linagliptin is a weak competitive and a weak to moderate mechanism-based inhibitor of CYP isozyme CYP3A4, but does not inhibit other CYP isozymes. It is not an inducer of CYP isozymes.
Linagliptin is a P-glycoprotein substrate, and inhibits P-glycoprotein mediated transport of digoxin with low potency. Based on these results and in vivo drug interaction studies, linagliptin is considered unlikely to cause interactions with other P-gp substrates.
In vivo assessment of drug interactions:
Clinical data described below suggest that the risk for clinically meaningful interactions by coadministered medicinal products is low. No clinically significant interactions requiring dose adjustment were observed. Linagliptin had no clinically relevant effect on the pharmacokinetics of metformin, glibenclamide, simvastatin, pioglitazone, warfarin, digoxin or oral contraceptives providing in vivo evidence of a low propensity for causing drug interactions with substrates of CYP3A4, CYP2C9, CYP2C8, P-glycoprotein, and organic cationic transporter (OCT).
Metformin: Co-administration of multiple three-times-daily doses of 850 mg metformin with a supratherapeutic dose of 10 mg linagliptin once daily did not clinical meaningfully alter the pharmacokinetics of linagliptin or metformin in healthy volunteers. Therefore, linagliptin is not an inhibitor of OCT-mediated transport.
Sulphonylureas: The steady-state pharmacokinetics of 5 mg linagliptin were not changed by co-administration of a single 1.75 mg dose glibenclamide (glyburide) and multiple oral doses of 5 mg linagliptin. However there was a clinically not relevant reduction of 14% of both AUC and Cmax of glibenclamide. Because glibenclamide is primarily metabolized by CYP2C9, these data also support the conclusion that linagliptin is not a CYP2C9 inhibitor. Clinically meaningful interactions would not be expected with other sulphonylureas (e.g. glipizide, tolbutamide and glimepiride) which, like glibenclamide, are primarily eliminated by CYP2C9.
Thiazolidinediones: Co-administration of multiple daily doses of 10 mg linagliptin (supratherapeutic) with multiple daily doses of 45 mg pioglitazone, a CYP2C8 and CYP3A4 substrate, had no clinically relevant effect on the pharmacokinetics of either linagliptin or pioglitazone or the active metabolites of pioglitazone, indicating that linagliptin is not an inhibitor of CYP2C8-mediated metabolism in vivo and supporting the conclusion that the in vivo inhibition of CYP3A4 by linagliptin is negligible.
Ritonavir: A study was conducted to assess the effect of ritonavir, a potent inhibitor of P-glycoprotein and CYP3A4, on the pharmacokinetics of linagliptin. Co-administration of a single 5 mg oral dose of linagliptin and multiple 200 mg oral doses of ritonavir increased the AUC and Cmax of linagliptin approximately twofold and threefold, respectively. Simulations of steady-state plasma concentrations of linagliptin with and without ritonavir indicated that the increase in exposure will be not associated with an increased accumulation. These changes in linagliptin pharmacokinetics were not considered to be clinically relevant. Therefore, clinically relevant interactions would not be expected with other P-glycoprotein/CYP3A4 inhibitors and dose adjustment is not required.
Rifampicin: A study was conducted to assess the effect of rifampicin, a potent inductor of P-glycoprotein and CYP3A4, on the pharmacokinetics of 5 mg linagliptin. Multiple co-administration of linagliptin with rifampicin, resulted in a 39.6% and 43.8% decreased linagliptin steady-state AUC and Cmax and about 30% decreased DPP-4 inhibition at trough. The physician should closely monitor glucose and consider alternative treatments in cases of insufficient efficacy.
Digoxin: Co-administration of multiple daily doses of 5 mg linagliptin with multiple doses of 0.25 mg digoxin had no effect on the pharmacokinetics of digoxin in healthy volunteers. Therefore, linagliptin is not an inhibitor of P-glycoprotein-mediated transport in vivo.
Warfarin: Multiple daily doses of 5 mg linagliptin did not alter the pharmacokinetics of S(-) or R(+) warfarin, a CYP2C9 substrate, showing that linagliptin is not an inhibitor of CYP2C9.
Simvastatin: Multiple daily doses of 10 mg linagliptin (supratherapeutic) had a minimal effect on the steady state pharmacokinetics of simvastatin, a sensitive CYP3A4 substrate, in healthy volunteers. Following administration of 10 mg linagliptin concomitantly with 40 mg of simvastatin daily for 6 days, the plasma AUC of simvastatin was increased by 34%, and the plasma Cmax by 10%. Therefore, linagliptin is considered to be a weak inhibitor of CYP3A4-mediated metabolism, and dosage adjustment of concomitantly administered substances metabolised by CYP3A4 is considered unnecessary.
Oral Contraceptives: Co-administration with 5 mg linagliptin did not alter the steady-state pharmacokinetics of levonorgestrel or ethinylestradiol.
The absolute bioavailability of linagliptin is approximately 30%. Because co-administration of a high-fat meal with linagliptin had no clinically relevant effect on the pharmacokinetics, linagliptin may be administered with or without food.
Overdosage
Symptoms
During controlled clinical trials in healthy subjects, single doses of up to 600 mg linagliptin (equivalent to 120 times the recommended dose) were well tolerated. There is no experience with doses above 600 mg in humans.
Therapy
In the event of an overdose, it is reasonable to employ the usual supportive measures, e.g., remove unabsorbed material from the gastrointestinal tract, employ clinical monitoring and institute clinical measures as required.
Availability
Film-coated tablets of 5 mg
Pack sizes
Ten x 1 film-coated tablets per aluminium blister strips.
Cartons containing 3 blister strips (3 x 10 film-coated tablets)
Storage conditions
Please refer to the packaging for information on shelf-life.
Manufactured by
West-Ward Columbus Inc.
1809 Wilson Road
Columbus, Ohio 43228, USA
or
Dragenopharm Apotheker Püschl GmbH
Göllstraße 1
84529 Tittmoning
Germany
for
Boehringer Ingelheim International GmbH
Ingelheim am Rhein
Germany
Date revision of package: 23 Dec 2021
| Store in a safe place out of the reach of children! |